Кольцевая жесткость труб.
Кольцевая жесткость это одна из основных прочностных характеристик полимерных труб: полиэтиленовых, полипропиленовых, стеклопластиковых, поливинилхлоридных. Характеристика и методика определения кольцевой жесткости принята европейским стандартом DIN EN ISO 9969.
Согласно исследованиям, труба с гибкой стенкой лучше воспринимает нагрузки передаваемые через грунт, чем труба с жёсткой стенкой. В соответствии с расчётными нагрузками, передаваемыми через грунт на трубу, используются различная степень уплотнения грунта. При оценке необходимой степени уплотнения грунта может использоваться представленная ниже диаграмма. Область на диаграмме, соответствующая каждой степени уплотнения, снизу ограничена принятой величиной средней деформации, а сверху – максимальнй допустимой величиной деформации.

Данный параметр непосредственно увязан с условиями прокладки и глубиной заложения канализационных наружных труб из вышеуказанных материалов. Определяется внешней деформирующей нагрузкой на метр квадратный поверхности трубы, при которой происходит уменьшение вертикального диаметра трубы на три процента без учета бокового отпора. При этом труба должна сохранять все свои функциональные свойства. В других источниках, а именно в каталоге Группы Полипластик для профилированной трубы Корсис, указано уменьшение вертикального диаметра трубы на четыре процента.
Допустимая глубина заложения ПП гофрированных труб
| Нагрузка | Выше уровня грунтовых вод | Ниже уровня грунтовых вод | ||
|---|---|---|---|---|
| Глубина заложения, м | Уплотнение грунта конечного заполнениия по методу Проктора, % | Глубина заложения, м | Уплотнение грунта конечного заполнениия по методу Проктора, % | |
| Отсутствует | ≤ 3 | 85 | ≤ 2 | 90 |
| 3 - 4 | 90 | 2 - 3 | 91 | |
| 4 - 5 | 91 | 3 - 4 | 92 | |
| 6 - 7 | 93 | 4 - 6 | 94 | |
| ≥ 7 | 95 | ≥ 6 | 95 | |
| Легковой транспорт |
1 - 2 | 93 | 1 - 2 | 94 |
| 2 - 4 | 91 | 2 - 3 | 92 | |
| 4 - 5 | 92 | 3 - 4 | 93 | |
| 5 - 6 | 93 | 4 - 6 | 94 | |
| 7 - 8 | 95 | 6 - 7 | 95 | |
| Грузовой транспорт |
≥ 8 | 96 | ≥ 8 | 96 |
| 1 - 2 | 96 | 1 - 2 | 96 | |
| 2 - 4 | 92 | 2 - 4 | 93 | |
| 4 - 6 | 93 | 4 - 5 | 94 | |
| 6 - 7 | 94 | 5 - 6 | 95 | |
| 7 - 8 | 95 | 6 - 7 | 96 | |
| ≥ 8 | 96 | ≥ 7 | 97 | |
Внешние нагрузки суммируются, это нагрузки грунта при обратной засыпке траншеи и транспортные нагрузки. Условия укладки, в зависимости от ситуации, могут иметь малую или большую глубину заложения трубопровода, а окружающая городская среда подвергать трубопровод постоянным нагрузкам от колесного транспорта (НК-80) и от колонн автомобилей (Н-30). Известно, что на прочность уложенных траншейно полимерных труб будут влиять их кольцевая жесткость, геометрия траншеи и модули деформации грунтов в зонах вокруг трубопровода.
Модуль деформации различных грунтов
| Грунт | Модуль деформации грунта, E, МПа |
|---|---|
| Рыхлые (несвязанные) грунты в плотных слоях: | |
| очень мелкий песок (0,1-0,2 мм) | 5-10 |
| умеренно мелкий песок (до 1 мм) | |
| мокрый | 5-10 |
| сухой | 10-15 |
| грубый песок (1-3 мм) мокрый | 13-22 |
| песок с гравием | |
| мокрый | 15-22 |
| сухой | 20-30 |
| грубый песок с примесью глины | 20-30 |
| Связанные грунты (тяжелая глина, обычная глина, мергель) | |
| мелкие (легко мнуться рукой) | 1-2 |
| плотные (с трудом мнуться) | 2-5 |
| полутвердые | 8-15 |
| твердые | 12-20 |
Кольцевую жесткость принято обозначать как SN и измерять степенями числа два. Например: SN=2, SN=4, SN=8, SN=16, SN=32. Кольцевая жесткость измеряется в МПа или кN/m2. Этот параметр у стеклопластиковых труб, в связи с особенностями их технологии изготовления, принято обозначать в барах: SN=5000, SN=10000 и так далее.
Для контроля качества выпускаемой продукции на предприятиях изготовителях сегодня применяют тестер марки 1663 для определения жесткости труб до 800 миллиметров и силы сжатия до 25 кН и тестер марки 1669 для определения жесткости труб диаметром до 1600 миллиметров и усилия сжатия до 60 кН.

Сертификационные испытания на кольцевую жесткость трубы проходят в НИИ Мосстроя на аналогичном оборудовании, где, на основании заявленных в технических условиях производителя показателях, тестируются их фактические характеристики. Целью работы является теоретическое и экспериментальное определение кольцевой жесткости труб, а так же глубины заложения в грунт трубопроводов водоотведения из них с учетом грунтовых и транспортных нагрузок при известных технологиях прокладки, в том числе разработка номограмм и таблиц для гидравлического расчета. Все результаты носят, как правило, предварительный характер и должны корректироваться после набора данных на опытных прокладках.
Только после положительного заключения испытаний трубы в НИИ Мосстроя предприятие производитель получает сертификат соответствия, а его продукция вносится в реестр поставщиков строительных материалов.
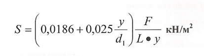
НИИ Мосстроя кольцевую жесткость определяет по следующей формуле:

где F - сила, kN, соответствующая относительному укорочению вертикального диаметра кольцевого образца на 3 процента; L - длина образца, м; y - абсолютное значение укорочения вертикального диаметра кольцевого образца, м; соответствующее 3 процентам укорочения. За показатель кольцевой жесткости трубы принимается среднее арифметическое трех значений, полученных при испытаниях.
Соответствие кольцевой жесткости полипропиленовых труб SN значениям SDR
| SDR | SN |
|---|---|
| 33 | 2 |
| 26 | 4 |
| 21 | 8 |
| 17 | 16 |
| 13.6 | 32 |
| 11 | 64 |





